Peer-Reviewed Work

Publications

150+ peer-reviewed publications on AI in dermatology, AI in melanoma, cutaneous oncology, oncodermatology, and immune-mediated skin disease. 4,500+ citations. Full list on Google Scholar.

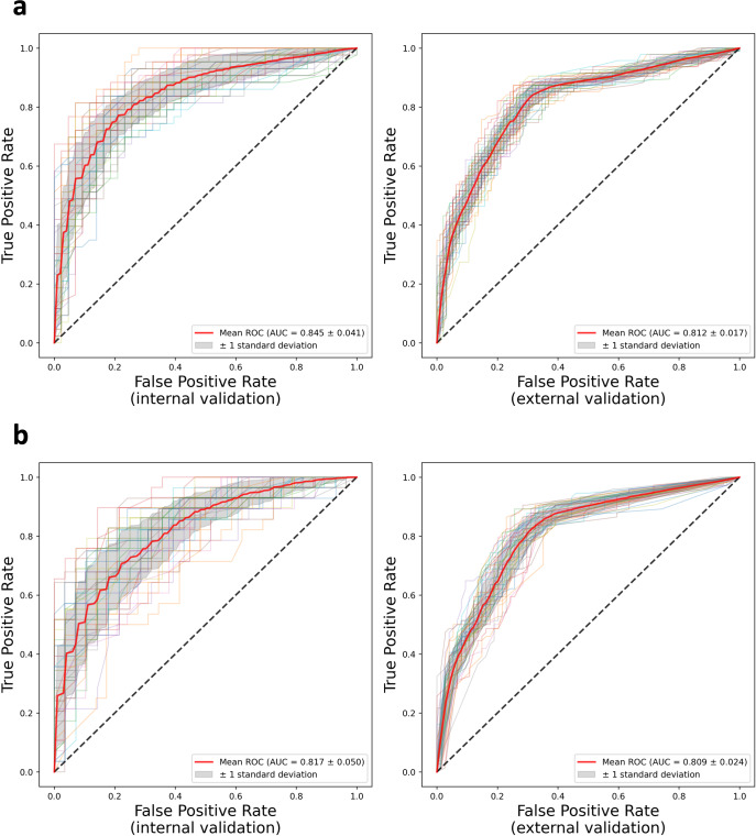
Melanoma recurrence ROC curves — AUROC 0.845 internal, 0.812 external
Melanoma ML ROC curves — AUROC 0.845 internal, 0.812 external · Wan et al., npj Precision Oncology 2022
Cutaneous irAE incidence rate ratios
Cutaneous irAE incidence rate ratios · Wongvibulsin, …, Semenov, JAAD 2022
J Am Acad Dermatol 2026

Risk and protective factors for uveal melanoma: A population-level analysis

Lu A, …, Semenov YR et al.

J Immunother Cancer (JITC) 2024

Defining D-irAEs: consensus-based disease definitions for the diagnosis and severity grading of dermatologic immune-related adverse events

Chen ST*, Semenov YR*, Gabel CK, Leventhal JS, … et al. (*co-first)

J Am Acad Dermatol 2023

Cutaneous immune-related adverse events are associated with improved survival in patients with melanoma treated with immune checkpoint inhibitors

Wan G, …, Semenov YR et al.

JAMA Dermatology 2022

Association of cutaneous immune-related adverse events with increased survival in patients treated with anti-PD-1 and anti-PD-L1 therapy

Tang T, …, Semenov YR et al.

Nature Medicine 2022

Germline variants associated with immune checkpoint inhibitor toxicity

Groha S, Alaiwi SA, …, Semenov YR et al.

npj Precision Oncology 2022

Prediction of early-stage melanoma recurrence using clinical and histopathologic features

Wan G, Nguyen N, Liu F, …, Semenov YR et al.